一、感知机是什么
感知机是具有输入和输出的算法。给定一个输入后,将输出一个既定的值。
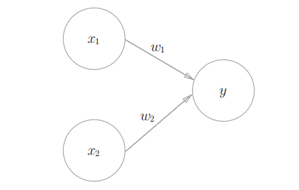
x1、x2是输入信号,y是输出信号,w1、w2是权重(w是weight的首字母)。○称为“神经元”或者“节点”。
输入信号被送往神经元时,会被分别乘以固定的权重(w1x1、w2x2)。神经元会计算传送过来的信号的总和,只有当这个总和超过了某个界限值时,才会输出1。这也称为“神经元被激活”。这里将这个界限值称为阈值,用符号θ表示。
二、简单逻辑电路(单层感知机)
2.1 与门

参数的选择方法如:(w1, w2, θ) = (0.5, 0.5, 0.7)
2.2 与非门

参数的选择方法如:(w1, w2, θ) = (−0.5, −0.5, −0.7)
2.3 或门

参数的选择方法如:(w1, w2, θ) = (1.0, 1.0,−0.5)
与门、与非门、或门是单层感知机。
三、多层感知机
异或门

使用单层感知机无法实现异或门,需要“叠加层”。使用2层感知机。
s1作为与非门的输出,把s2作为或门的输出
1)第0层的两个神经元接收输入信号,并将信号发送至第1层的神经元。
2)第1层的神经元将信号发送至第2层的神经元,第2层的神经元输出y。
四、权重和偏置
将阈值θ换成−b,因此感知机的表示:
b称为偏置,用于控制神经元被激活的容易程度。w1和w2称为权重。
感知机会计算输入信号和权重的乘积,然后加上偏置,如果这个值大于0则输出1,否则输出0。
五、线性和非线性
区分:能否用一条直线分割空间。
可以用一条直线将○和△分开,因此该空间为线性空间。
不能用一条直线将○和△分开(使用曲线可以分开),因此该空间为非线性空间。
六、小结
• 感知机是具有输入和输出的算法。给定一个输入后,将输出一个既定的值。
• 感知机将权重和偏置设定为参数。
• 使用感知机可以表示与门和或门等逻辑电路。
• 异或门无法通过单层感知机来表示。
• 使用2层感知机可以表示异或门。
• 单层感知机只能表示线性空间,而多层感知机可以表示非线性空间。
• 多层感知机(在理论上)可以表示计算机。