Filtering——>Edges——>Corners
滤波器——>边沿——>角点
Feature points 特征点
也称为兴趣点(interest points)、关键点( key points)等,通常称为“局部”特征( ‘local’ features)。
- 视图之间的通信
对应关系:在图像上匹配点、面片、边或区域。 - 特征点用于:
图像对齐
三维重建
运动跟踪(机器人、无人机、AR)
索引与数据库检索
目标识别 - 不变局部特征
检测可重复且独特的点。即,对图像变换不变性:
外观变化(亮度、照度);
几何变化(平移、旋转、缩放)。 - 示例应用——全景接合
1)检测(Detection):找到一组与众不同的关键点。
2)描述(Description):提取每个兴趣点的特征描述作为向量。
3)匹配(Matching):计算特征向量之间的距离以找到对应关系。 - 好的特征:
1)重复性
尽管存在几何和光度变换,但在多个图像中可以找到相同的特征。
2)显著性
每个特征都很独特。
3)紧凑性和效率
比图像像素少很多特征。
4)局部
一个特征占据了图像相对较小的区域;对杂波和遮挡鲁棒。
Corner Detection 角点检测
我们可以透过一扇小窗户来认识这一点。
我们希望窗口向任何方向移动,以使强度发生很大变化。
基于自相关的角点检测
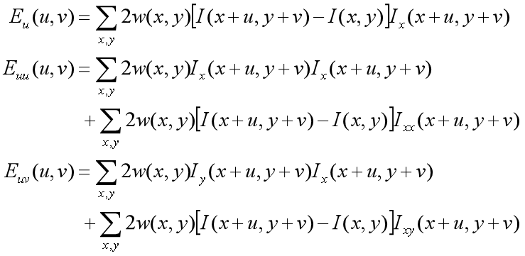
变换[u,v]:通过改变窗口w(x,y)的外观:


关键特性:在拐角区域,图像梯度有两个或多个主方向角落是可重复和独特的。
用二次曲面局部逼近E(u,v):

一个函数f可以用它在一个点a的无穷级数表示:

当我们关心窗口中心时,我们设置a=0(麦克劳林系列)。
f(x)=e^x以f(0)为中心的逼近
角点检测:数学
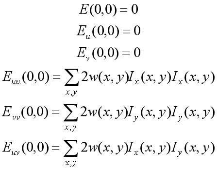
通过二阶泰勒展开给出了(0,0)邻域中E(u,v)的局部二次逼近:

E(u,v)关于(0,0)的二阶泰勒展开式:




二次近似简化为:

其中M是根据图像导数计算的二阶矩矩阵:

角点作为独特的兴趣点
- 图像导数的2x 2矩阵(在点附近平均)

二阶矩矩阵的解释
Harris 角点探测器
0)输入图像:我们要计算每个像素的M;
1)计算图像导数(可选,先模糊);
2)用导数平方计算M分量;
3)宽度为σ的高斯滤波器g();
4)计算转角

5)C上选择高转角的阈值
6)非极大值抑制拾取峰
位置对光度变换是不变的,对几何变换是协变的吗?
不变性:图像被变换,角点位置不变;
协方差:如果我们有相同图像的两个变换版本,则应在相应位置检测特征。










